
6月21日,2021生态伙伴钉峰会,小编在现场大屏上看到了一个眼熟的公式。
想起了几天前的一个晚上。
那一夜,钉钉开放平台的内部群画风突变。
直接上图(已获授权):

你看懂了吗?反正小编没看懂。
导火线是有人在群里发出一个图形:

并配了一句话:“昨天那个公式,我想到了F(钉钉)。”
说这话的,是钉钉CTO、钉钉开放平台总经理巴布。
这个“F”显然不只是个英文字母这么简单。作为文科生的小编,一脸懵逼。
此时,一个理工男同事秒懂,说这是“傅里叶变换”。而我脑子里出现的却是“朱丽叶”。

瞬间转念,又想到了她。

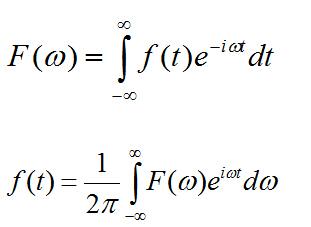
上网搜索得知:傅里叶是法国数学家、物理学家。他生活在距今200多年前,长得很萌。

傅里叶的代表作是“傅里叶变换”:

这么高逼格的场合,自然少不了气氛组:
“这个团队门槛太高了,容我去复习一下线性代数。”
“线性代数不够,需要抽象代数+泛函分析+张量分析。”
有前辈证实,用数学公式代替千言万语,是钉钉的传统。这是2019年钉钉推出的一个公式:

这些年,钉钉同学一直在探索数学的深渊:

有同学貌似已经探到了深渊的最深处,看看这位钉钉同学的发言。

“系统熵反卷积”——我愣是看成了“反内卷”。
自古数理是一家,终于有人安耐不住,抛出了宇宙终极公式:
E=mc²(E:能量;m:质量;c:光速)
这是原子弹背后的质能公式,原创:爱因斯坦。

这个公式的好处是能唬人,坏处是烂大街,烂大街到连我这个文科生都略知一二。
我见过文艺男青年用它写情书:
m=我们之间的距离
c=见不到你的每一秒
E=我对你的思念
这么庸俗的公式,真正的技术直男是看不上的!
这时,话题的发起者巴布忍无可忍,手写了他的完整公式:

并傲娇地说了一句:“准备这么讲。”
小编客串一下解说员:
∑:求和符号Sigma(西格玛)。这个好懂,你肯定见过。
F:傅里叶变换:任意函数通过一定的分解,都能够表示为正弦函数的性组合的形式。弦函数在物理学上已被充分研究,是相对简单的函数类,这让它在物理学、数论、组合数学、信号处理、概率学、统计学、密码学、声学、光学等领域被广泛应用。
巴布还给F傅里叶强行加戏:
F=开放(Fang)平台
F=Focus(聚焦)
∞:无限大
巴布说,钉钉要专注做好“F”傅里叶变换。
在千变万化的行业中找准相对不变的规律,那就是做好平台和底座,做好行业的基础设施。
跟群聊里的那张手绘图相比,“+”改成了“⊗”。
⊗: “笛卡尔积”
笛卡尔?文科男听后顿时精神抖擞了起来。
笛卡尔同样是法国人,欧洲理性主义哲学的奠基人,他有句真假文青皆知的名言:“我思故我在”。
这位旷古罕见的文理全才长这样:

笛卡尔积是指两个集合的乘积,左边的每一项×右边的每一项。
用笛卡尔积解释大屏上的公式:
钉钉有多少生态伙伴?——2500多家;
钉钉已经开放了多少能力?——1300多个API接口;
目前已有超过27万开发者入驻钉钉;
他们在钉钉上开发了超过100万个钉应用;
“⊗”代表的乘数效应点中了to B平台经济的灵魂。
对于伙伴和开发者,钉钉的态度很明确:开放政策、开放能力、优化服务。
会上,钉钉发布了行业首个规模化SaaS连接器,以业务财务一体化为切入点,解决巨巨巨大的痛点加难点。
基于统一的数据标准,SaaS之间可天然实现数据互通,不必再两两单线打通,也不必再做定制开发,破解了长期困扰行业和用户的SaaS数据孤岛问题。
中国商业会计学会、金蝶、纷享销客、易快报、销帮帮、有成、BOSS管账、阿里商旅等8家机构已率先加入。
听听易快报创始人兼CEO马春荃怎么说:
“基础设施搭建好了以后,我们只需要把自己当作一根软管,直接标准化地插到钉钉上就行了。”
以上就是小编在钉钉内部工作群的见闻,改天再说说钉钉内部的吃喝玩乐群。

跟这些技术直男们同处一个钉钉群,你就能知道“什么是快乐星球”。
问:“去输液了,输的什么液?”
哲学小王:“想你的夜。”
钉钉技术直男:“傅里叶。”
版权声明:CosMeDna所有作品(图文、音视频)均由用户自行上传分享,仅供网友学习交流。若您的权利被侵害,请联系删除!
本文链接://www.cosmedna.com/article/346646278.html







