量子计算有望为机器学习提供计算优势。然而,当前含噪声中等规模量子(NISQ)设备对实现量子机器学习(QML)的优势提出了工程挑战。为了应对这一挑战,近年来出现了一些受大脑计算模型启发的量子机器学习架构——模拟可控的多体量子系统进行计算,而不依赖传统数字电路架构。
近日,哈佛大学团队利用里德堡(Rydberg)原子阵列,成功构建了大脑神经回路模型的量子版本——量子递归神经网络(qRNN):只使用6个铷原子便成功完成了认知任务,并证明其显著提高了计算特性。相关论文以《使用里德堡原子阵列的量子储层计算》为题[1]已在arXiv网站提交。

01
什么是量子递归神经网络(qRNN)?
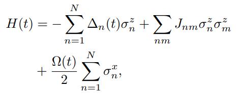
我们首先回顾一个由N个二元神经元组成的典型RNN:每个神经元处于两种可能状态sn(t)∈{-1,1}中的一种,并按照更新规则从时间步长t到t+1进行更新。其中,Jnm=Jmn是神经元n和m之间的对称突触连接,随时间变化的偏差∆n(t)编码RNN的输入。

现在我们把上式中的经典RNN扩展到量子环境:用自旋(spin)为-1/2的粒子来代替N个神经元中的每一个,对其沿z轴的自旋测量产生{-1,1}值。因此,每个神经元n都是希尔伯特空间Hn中的归一化量子态,得到了随时间变化的量子哈密顿量公式:

相较于RNN,qRNN的演化进一步扩大了神经网络的效能。具体来说,包含以下三个特点:
通过使用量子技术提高计算复杂函数的能力;
可以选择多种测量基(measurement basis);
有效地实现经典RNN所不能达到的随机过程。
随后,团队分别进行了以下三个实验,一一验证了qRNN的相应性能优势。

qRNN可以计算复杂函数:计算两个输入s1和s2的奇偶性——XOR(s1,s2)。RNN的计算能力是非线性动力学的结果:例如,一个具有线性动力学的RNN没有能力计算两个经典二进制输入之间的奇偶函数XOR(s1, s2)=s1s2。qRNN可以进行线性计算:利用量子干涉来计算XOR,这是量子计算的基本资源。

使用qRNN检测三个自旋L1,2,3的Z-错误(一种量子计算错误)。为了检测Z-错误,一组辅助量子比特A1,2被引入,对(L1,L2)和(L2,L3)进行奇偶校验位检测。qRNN可以有效地在计算基之外的不同基上测量,进而发现量子关联,提高了其相对于RNN的性能。

比较经典RNN和qRNN从初始分布p0随机演化出一个分布ptf。上图:经典的RNN需要O(2N-m)个时间步骤,同时使用m个隐藏神经元;下图:qRNN只需要一个时间步骤,且没有隐藏的神经元。
02
里德堡原子构建qRNN:学习效能显著提升
和RNN的进化之间的相似性意味着qRNN有能力复制神经系统的学习。为了探索qRNN的学习效能,研究团队在里德堡原子的光镊阵列上,对qRNN架构进行了相应实验。研究组选择了里德堡原子阵列,因为它们是单价电子原子——这些原子的直径超大,它们的一些电子在很远的距离内绕原子核运行,而且对光非常敏感,因此可以在原子基态和高度基态之间连贯驱动。

RNN和qRNN示意图。(A)经典RNN。神经间的连接Jnm是任意的。(B)qRNN由里德堡原子组成,其中Rnm是原子n和m之间的物理距离,一个原子子集的局部期望值被用于读出。(C)使用光镊对(B)中RNN的里德堡原子阵列操作示意图。
在所分析的任务中,研究团队根据手头的任务固定了原子的几何形状,这使得qRNN类似于“量子存储计算机”。随后,团队注于四个简单的神经系统任务的原理证明。结果表明,里德堡原子的qRNN可以编码抑制性和兴奋性神经元,这对成功的多任务处理至关重要;里德堡原子的qRNN可以通过区分刺激物的特性来学习做出决定,具有工作记忆,并表现出由量子多体“疤痕”(scar)增强的长期记忆。
1)实验一:多任务学习
经典RNN的一个特点是它们有多任务学习的能力,多任务包括同时学习几个输出函数。实验中,通过同时学习不同浓度的抑制性神经元的XOR、AND、OR函数来测试qRNN的性能。

使用里德堡原子对抑制性神经元进行编码,并将其用于多任务处理。(A)抑制性神经元的编码方案。(B)在抑制性神经元数量不同的情况下,qRNN学习XOR、OR和AND函数的平方误差。当每4个神经元中有1个是抑制性神经元时,可以观察到更好的性能。(C)-(E)使用8个神经元和2个抑制性神经元学习函数的例子,其结果比没有抑制性神经元时的表现好40%。
2)实验二:决策制定
经典RNN的巨大成功之一是它们能够整合感觉刺激,以便在两个行动之间进行选择。实验中,团队展示了里德堡原子的qRNN与最初在猴子身上研究的点状运动决策任务的变体,其中几个输入被分析以产生一个代表决策的标量非线性函数。这项任务表明qRNN有能力产生输入的非线性函数,并执行简单的认知任务。

里德堡原子的qRNN的决策制定实验。(A)作为两个原子上的一对时间依赖性调谐的输入刺激的示意图;(B)决策任务的心理反应。
3)实验三:参数化工作记忆
工作记忆(WM)是最重要的认知功能之一,它涉及到大脑为以后执行任务而保留和处理信息的能力。这个任务显示了里德堡原子的qRNN的短期记忆能力。

里德堡原子的qRNN的工作记忆。(A)网络输入示意图;(B)工作记忆任务的损失是总输入时间的函数;(C)两种不同的δtout值的工作记忆任务的心理反应;(D)∆t=0.15和tout=0.5时,工作记忆任务的准确性是tdelay的函数。
4)实验四:通过量子多体疤痕实现长期记忆
最后,团队转向研究qRNN编码长期记忆的能力。该任务包括对qRNN的初始状态——ψm(0),进行编码,以便让系统在其继承动态下演化一段时间后,再通过对状态ψm(T)的局部测量来恢复记忆。

准备一个编码为m的状态。实验中,系统是一个里德堡原子链,最终的测量是在单个原子上进行的,再进行线性后处理以检索出m。如果能稳定地防止热化,就能在更大的时间内检索到记忆。
03
量子计算+神经网络:带来新的曙光
此次实验中,研究团队提出了一个关于二元神经元的经典RNN的量子版本——使用里德堡原子阵列实现了一个qRNN,并展示了少量里德堡原子如何被用来成功地执行生物学习任务。
如今,越来越多科研成果试图结合量子计算和神经网络。例如,超导电路最近被用来编码生物逻辑上真实的单神经元模型[2]。此次实验优势很可能将用于量子神经元的集体学习任务中,也有望为相关计算架构的研究和实验带来曙光。
参考链接:
[1]https://arxiv.org/abs/2111.10956
[2]T. Gonzalez-Raya, E. Solano, and M. Sanz, Quantizedthree-ion-channel neuron model for neural action poten-tials, Quantum 4, 224 (2020).
版权声明:CosMeDna所有作品(图文、音视频)均由用户自行上传分享,仅供网友学习交流。若您的权利被侵害,请联系删除!
本文链接://www.cosmedna.com/article/817197488.html







