周日好,周日好
今天是一篇掰碎了讲美白的文章
下周会整理最近HM,Topshop和宜家的折扣
以及连衣裙、包包比价
(๑•̀ㅂ•́)و✧加油
一周三更这周正式完满了
开心!(^-^)V

美白是个常谈常新的话题。我曾经在知乎上写过一个热门帖子,普及了一些美白的原理,感兴趣可以扫码先去看看,预习一下:

今天我来从细节入手,掰碎了谈便宜又好用的成分——VC。

VC(成分表里常写成L-抗坏血酸、Ascorbic acid和 AA)是人体必需的维生素,也是美白圣品。不过,把VC只当成美白圣品,怕是委屈了它。在护肤上,VC至少在三个方面能发挥作用:
抗氧化:还原自由基;
抗老:促进胶原蛋白的诞生;
美白:抑制黑色素产生、还原黑色素
三个能力的基石来自VC强大的「还原」能力。具体来说,其还原能力来自其分子结构中的「烯二醇」结构,

这种结构极易被氧化,形成脱氢维生素C,而脱氢维生素在体内遇到水和酶,也有可能转化为维生素C,继续发挥作用、

简直是一种循环往复,生生不息的抗氧化仙丹。
是不是感觉和烟熏柿子的大白牙一样超棒Der?

VC虽好,但最大的问题是,极易氧化。一旦温度不合适,Ph不合适,水里有金属离子,就完蛋。另外,VC不易溶于脂类,所以在皮肤上的渗透性也比较差。
美容护肤工业为了安全的护送VC进入皮肤内,无外乎从两条路入手:
1、提高VC的稳定性
2、促进VC的皮肤渗透性。
而为了达到这两个目的,手段又分为「改造质地」和「VC衍生物」两种路子。

先来说改造质地。
VC在两种形态下比较稳定,一个是粉末态,二个是Ph3.5的溶液。因此一些以VC为主打的产品,都按照VC要求的稳定条件生产产品,当然对技术的要求也比价高。
// 粉状质地
VC粉类产品,单品很少,但是能做出来的,都都非常、非常、非常值得推荐。
①
自然哲理维他命C粉

优点:简单、有效、好评!并且还有一定的控油效果。
缺点:容易染黄衣领。
配方极其简单+有效,VC,搭配泛醇,氨基酸、甘草酸二钾等保湿、抗氧化成分。粉末状质地,还兼任控油效果
价格也不贵,200出头一小瓶,可以用3个月,最后都有点绝望了。
我的经验:官方推荐加在化妆水里即可,而我的经验则是加在有脂类的乳液/面霜更好,或许是因为油脂包裹性好一些,避免VC与空气接触的氧化消耗。
②
倩碧鲜活维C修复精华液

优点:简单、有效、好评!
缺点:几乎没有。
倩碧在用户体验显然比自然哲理考虑得周到(也贵不少)。它的VC粉末是放在瓶子后的一个胶囊里,用的时候,按下胶囊,VC粉倒出,和会瓶中的甘油、角鲨烷等混合成乳液,要求1周用完。保证了VC的活性,也避免了小白用户纠结,用什么面霜、乳液搭配VC粉的问题。
复配成分搭配了一点果酸,但是并没有感到太刺激,只要不是太敏感的肌肤,都可以用。
我暂时没有发现任何缺点,强力推荐大家试试。
// 溶液形态
第二种方式,则是溶液形态。由于溶解度限制,大多数在20%以下,溶液呈强酸性,对皮肤也有一些刺激作用(当然粉剂类溶解后也是有酸性刺激的)。
这种形态经典比粉剂多,平价的有乐敦CC,中等价位的经典产品是Obagi C15,而高价位的则是修丽可,也都还不错,各自按照购买能入就好。

从左至右
乐敦CC
Obagi Professional-C Serum 20% Strength
修丽可维生素C温和修护精华液
修丽可维生素CE复合修护精华液
乐敦cc使用的是油基底,浓度估计没有后面几个高,肤感有点腻,但是日常提亮效果算是不错的了,价格便宜,惠盛70元。
Obagi像是白开水,直接用到脸上会有点刺痛,建议还是添加到乳液里一起。美亚上比较好买到。
使用体验最好的莫过于修丽可的两款。CE复合,VC含量大概是15%。和维生素E能起到协同作用。温和C则是10%的VC配阿魏酸(抗氧化剂),所以人家叫温和嘛,不过日间用来防止脸色暗沉很棒。

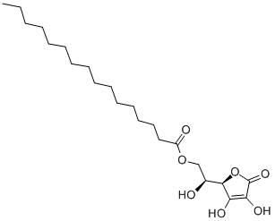
VC衍生物,则是通过改变维生素C的化学结构,改善VC的透皮性和稳定性。改善透皮性,嫁接棕榈酸基团,改善稳定性,嫁接葡萄糖基或者磷酸基。
我将常见VC衍生物,以及嫁接后的特性做了个整理:

粗暴的看,红色比较多的,效果会好一些
NO1. 尴尬成分
先说尴尬的两个,抗坏血酸磷酸盐和抗坏血酸葡萄糖苷。
嫁接了磷酸基、葡萄糖基后,稳定性提高了,抗氧化能力被阉割。但是由于它们被皮肤吸收后,可能转化为维生素C,给抗氧化效果留了一线生机。
所以,强调粗暴效果的VC美白精华,都不会单独用磷酸盐、葡萄苷,多用他们来复配,增加抗氧化能力。
而但凡主打这两个成分的,则是打温和牌,不会短期见效,但是日常坚持使用,对皮肤的弹性,透明度都会有帮助。
列个名单,大家可以围观一下,以便于对这些化妆品的效果有正确的期待。
磷酸盐系列

从左至右
佰草集新七白美白嫩肤露
HABA雪白佳丽精华液
赛贝格活颜修护Vc粉
妮维雅晶纯皙白美白补水凝露
葡萄糖苷系列

从左至右
奥比虹清新莹白渗透乳
倩碧匀净卓研淡斑精华露(虽然还有另一个美白成分,但是VC葡萄糖苷是主打)
肌美精深层渗透美白面膜
FANCL莹亮净白精华露
NO2.有效成分
抗坏血酸棕榈酸酯
似乎都在批评,接下来就到了表扬环节了:抗坏血酸棕榈酸酯类。
添加了棕榈酸基团的VC衍生物,分子可以更顺利的透过皮肤,溶液不再是强酸性,对皮肤刺激也更小。劣势当然是也是易氧化问题没解决,需要用特殊的手段保证活性。

其中大名鼎鼎的当然是雅顿的晶璨皙颜多效夜间精华液了,

它用的是抗坏血酸四异棕榈酸酯,又叫酯化维C,采用胶囊的技术,防止氧化。
优点:不刺激且能有效美白。
缺点:略油,硅感重(虽然我一点都不在乎)。
这是我无脑推荐的单品,目前用了真么多美白精华,它绝对是真爱档的。
NO2.脑洞成分
抗坏血酸棕榈酸酯磷酸盐
既然上面几个都有点缺陷,脑洞比较大的科学家,就把磷酸基和棕榈酸基都嫁接上去,既稳定又透皮。
不过问题仍然和所有稳定的VC衍生物一样,抗氧化能力被阉割,只能等待在体内再转化为VC发挥作用。
典型产品是城野医生VC100化妆水,

这个水,怎么说呢,感受类似于脸色变得明亮了,但是论那种第二天就能感受到的净白效果,是没有的┑( ̄Д  ̄)┍。

// 效果满分 刺激很大
抗坏血酸粉剂或者溶液

// 效果不错,刺激较低
抗坏血酸棕榈酸酯
// 成分有益,但不立竿见影
抗坏血酸磷酸盐
抗坏血酸葡糖糖苷
抗坏血酸棕榈酸酯磷酸盐

· 周末互动 ·
「欢迎种草&拔草你们用过的美白产品」
下方留言
下面点赞,右上分享
版权声明:CosMeDna所有作品(图文、音视频)均由用户自行上传分享,仅供网友学习交流。若您的权利被侵害,请联系删除!
本文链接://www.cosmedna.com/article/552511627.html








 
                                             
                                             
                                             
                                             
                                             
                                             
                                             
                                             
                                             
                                             
                                             
                                         
                                         
                                         
                                         
                                         
                                         
                                         
                                         
                                         
                                         
                                         
                                         
                                         
                                         
                                         
                                         
                                         
                                         
                                         
                                         
                                         
                                         
                                         
                                         
                                         
                                         
                                         
                                         
                                         
                                        